几何计算器官方正版 2.5.0安卓版
- 类型:手机必备
- 大小:33.0M
- 语言:简体中文
- 厂商:暂无资料
- 更新:2026-04-23 19:51:06
- 备案号:

几何计算器是一款功能强大的计算工具,具备全面的几何计算能力,能覆盖从平面图形到立体形状的完整求解需求。输入简单已知条件,就能直接获得未知结果,省去手动查找公式与分步计算的繁琐。其函数计算模块支持复杂运算,结果呈现精确还能切换形式。内置单位换算系统,历史记录功能可保存计算过程与结果,还有批量计算模式。它将抽象定理转化为直观界面,计算快且准,界面布局清晰,是学习工作的得力助手。
几何计算器官方正版亮点
1. 交互式图形动态反馈技术很出色,输入或修改参数时,左侧几何模型实时缩放变化,将数字与形态生动结合,加深对几何关系变化的理解。
2. 内容体系设计覆盖范围广,从基础教育到高等教育的数学课程核心要点都有涵盖,能长期伴随学习进程发挥辅助作用。
3. 核心功能支持完全离线运行,无需网络连接即可稳定工作,保障了在多种环境下的使用可靠性,还保护了数据与隐私安全。
4. 操作环境纯净无干扰,没有广告推送和隐藏付费项目,营造了专注高效的计算体验,让注意力集中于问题本身。
5. 部分几何模型支持逆向求解逻辑,可从结果反向推导出初始条件,扩展了应用场景,为问题解决提供更多灵活性。
几何计算器官方正版特色
1. 具备交互式图形动态反馈技术,输入或修改参数时,左侧几何模型实时缩放变化,生动结合数字与形态,加深对几何关系的理解。
2. 内容体系覆盖从基础教育到高等教育的数学课程核心要点,能长期辅助学习,具有广泛的应用价值与普适性。
3. 核心功能支持完全离线运行,无需网络连接即可稳定工作,保障了在多种环境下的使用可靠性,保护数据与隐私安全。
几何计算器app怎么用
1、下载打开软件,在首页可以看到有各种几何图形,比如三角形、直角三角形、长方形、圆形、梯形、圆环等等;
2、选择一个你要计算的图形,在输入区输入它的数值,点击计算;
3、只需一秒就能查看它的计算结果;
4、如果需要选择单位,打开单位按钮就能切换单位;
5、点击右上角的计算器标识;
6、还能快速在里面计算结果;
7、在点击旁边的一个按钮;
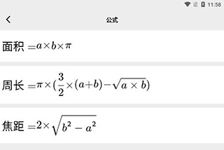
8、可以查看该几何图形的公示;
9、每一个几何图形里面都有该图形所包含的全部公示,也方便大家学习。

花花姑娘之美妆奇缘手游
生活服务类软件大全